46 KiB
FreqAI
FreqAI is a module designed to automate a variety of tasks associated with training a predictive model to generate market forecasts given a set of input features.
Among the the features included:
- Self-adaptive retraining: retrain models during live deployments to self-adapt to the market in an unsupervised manner.
- Rapid feature engineering: create large rich feature sets (10k+ features) based on simple user created strategies.
- High performance: adaptive retraining occurs on separate thread (or on GPU if available) from inferencing and bot trade operations. Keep newest models and data in memory for rapid inferencing.
- Realistic backtesting: emulate self-adaptive retraining with backtesting module that automates past retraining.
- Modifiable: use the generalized and robust architecture for incorporating any machine learning library/method available in Python. Seven examples available.
- Smart outlier removal: remove outliers from training and prediction sets using a variety of outlier detection techniques.
- Crash resilience: model storage to disk to make reloading from a crash fast and easy (and purge obsolete files for sustained dry/live runs).
- Automated data normalization: normalize the data in a smart and statistically safe way.
- Automatic data download: compute the data download timerange and update historic data (in live deployments).
- Clean incoming data safe NaN handling before training and prediction.
- Dimensionality reduction: reduce the size of the training data via Principal Component Analysis.
- Deploy bot fleets: set one bot to train models while a fleet of other bots inference into the models and handle trades.
Quick start
The easiest way to quickly test FreqAI is to run it in dry run with the following command
freqtrade trade --config config_examples/config_freqai.example.json --strategy FreqaiExampleStrategy --freqaimodel LightGBMRegressor --strategy-path freqtrade/templates
where the user will see the boot-up process of auto-data downloading, followed by simultaneous training and trading.
The example strategy, example prediction model, and example config can all be found in
freqtrade/templates/FreqaiExampleStrategy.py, freqtrade/freqai/prediction_models/LightGBMRegressor.py,
config_examples/config_freqai.example.json, respectively.
General approach
The user provides FreqAI with a set of custom base indicators (created inside the strategy the same way a typical Freqtrade strategy is created) as well as target values which look into the future. FreqAI trains a model to predict the target value based on the input of custom indicators for each pair in the whitelist. These models are consistently retrained to adapt to market conditions. FreqAI offers the ability to both backtest strategies (emulating reality with periodic retraining) and deploy dry/live. In dry/live conditions, FreqAI can be set to constant retraining in a background thread in an effort to keep models as young as possible.
An overview of the algorithm is shown here to help users understand the data processing pipeline and the model usage.
Background and vocabulary
Features are the quantities with which a model is trained. X_i represents the
vector of all features for a single candle. In FreqAI, the user
builds the features from anything they can construct in the strategy.
Labels are the target values with which the weights inside a model are trained toward. Each set of features is associated with a single label, which is also defined within the strategy by the user. These labels intentionally look into the future, and are not available to the model during dryrun/live/backtesting.
Training refers to the process of feeding individual feature sets into the model with associated labels with the goal of matching input feature sets to associated labels.
Train data is a subset of the historic data which is fed to the model during training to adjust weights. This data directly influences weight connections in the model.
Test data is a subset of the historic data which is used to evaluate the intermediate performance of the model during training. This data does not directly influence nodal weights within the model.
Install prerequisites
The normal Freqtrade install process will ask the user if they wish to install FreqAI dependencies. The user should reply "yes" to this question if they wish to use FreqAI. If the user did not reply yes, they can manually install these dependencies after the install with:
pip install -r requirements-freqai.txt
!!! Note Catboost will not be installed on arm devices (raspberry, Mac M1, ARM based VPS, ...), since Catboost does not provide wheels for this platform.
Usage with docker
For docker users, a dedicated tag with freqAI dependencies is available as :freqai.
As such - you can replace the image line in your docker-compose file with image: freqtradeorg/freqtrade:develop_freqai.
This image contains the regular freqAI dependencies. Similar to native installs, Catboost will not be available on ARM based devices.
Configuring FreqAI
Parameter table
The table below will list all configuration parameters available for FreqAI.
Mandatory parameters are marked as Required, which means that they are required to be set in one of the possible ways.
| Parameter | Description |
|---|---|
freqai |
Required. The parent dictionary containing all the parameters below for controlling FreqAI. Datatype: dictionary. |
identifier |
Required. A unique name for the current model. This can be reused to reload pre-trained models/data. Datatype: string. |
train_period_days |
Required. Number of days to use for the training data (width of the sliding window). Datatype: positive integer. |
backtest_period_days |
Required. Number of days to inference into the trained model before sliding the window and retraining. This can be fractional days, but beware that the user provided timerange will be divided by this number to yield the number of trainings necessary to complete the backtest. Datatype: Float. |
live_retrain_hours |
Frequency of retraining during dry/live runs. Default set to 0, which means it will retrain as often as possible. Datatype: Float > 0. |
follow_mode |
If true, this instance of FreqAI will look for models associated with identifier and load those for inferencing. A follower will not train new models. False by default. Datatype: boolean. |
startup_candles |
Number of candles needed for backtesting only to ensure all indicators are non NaNs at the start of the first train period. Datatype: positive integer. |
fit_live_predictions_candles |
Computes target (label) statistics from prediction data, instead of from the training data set. Number of candles is the number of historical candles it uses to generate the statistics. Datatype: positive integer. |
purge_old_models |
Tell FreqAI to delete obsolete models. Otherwise, all historic models will remain on disk. Defaults to False. Datatype: boolean. |
expiration_hours |
Ask FreqAI to avoid making predictions if a model is more than expiration_hours old. Defaults to 0 which means models never expire. Datatype: positive integer. |
| Feature Parameters | |
feature_parameters |
A dictionary containing the parameters used to engineer the feature set. Details and examples shown here Datatype: dictionary. |
include_corr_pairlist |
A list of correlated coins that FreqAI will add as additional features to all pair_whitelist coins. All indicators set in populate_any_indicators will be created for each coin in this list, and that set of features is added to the base asset feature set. Datatype: list of assets (strings). |
include_timeframes |
A list of timeframes that all indicators in populate_any_indicators will be created for and added as features to the base asset feature set. Datatype: list of timeframes (strings). |
label_period_candles |
Number of candles into the future that the labels are created for. This is used in populate_any_indicators, refer to templates/FreqaiExampleStrategy.py for detailed usage. The user can create custom labels, making use of this parameter not. Datatype: positive integer. |
include_shifted_candles |
Parameter used to add a sense of temporal recency to flattened regression type input data. include_shifted_candles takes all features, duplicates and shifts them by the number indicated by user. Datatype: positive integer. |
DI_threshold |
Activates the Dissimilarity Index for outlier detection when above 0, explained in detail here. Datatype: positive float (typically below 1). |
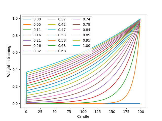
weight_factor |
Used to set weights for training data points according to their recency, see details and a figure of how it works here. Datatype: positive float (typically below 1). |
principal_component_analysis |
Ask FreqAI to automatically reduce the dimensionality of the data set using PCA. Datatype: boolean. |
use_SVM_to_remove_outliers |
Ask FreqAI to train a support vector machine to detect and remove outliers from the training data set as well as from incoming data points. Datatype: boolean. |
svm_params |
All parameters available in Sklearn's SGDOneClassSVM(). E.g. nu Very broadly, is the percentage of data points that should be considered outliers. shuffle is by default false to maintain reproducibility. But these and all others can be added/changed in this dictionary. Datatype: dictionary. |
stratify_training_data |
This value is used to indicate the stratification of the data. e.g. 2 would set every 2nd data point into a separate dataset to be pulled from during training/testing. Datatype: positive integer. |
indicator_max_period_candles |
The maximum period used in populate_any_indicators() for indicator creation. FreqAI uses this information in combination with the maximum timeframe to calculate how many data points it should download so that the first data point does not have a NaN Datatype: positive integer. |
indicator_periods_candles |
A list of integers used to duplicate all indicators according to a set of periods and add them to the feature set. Datatype: list of positive integers. |
use_DBSCAN_to_remove_outliers |
Inactive by default. If true, FreqAI clusters data using DBSCAN to identify and remove outliers from training and prediction data. Datatype: float (fraction of 1). |
| Data split parameters | |
data_split_parameters |
Include any additional parameters available from Scikit-learn test_train_split(), which are shown here Datatype: dictionary. |
test_size |
Fraction of data that should be used for testing instead of training. Datatype: positive float below 1. |
shuffle |
Shuffle the training data points during training. Typically for time-series forecasting, this is set to False. Datatype: boolean. |
| Model training parameters | |
model_training_parameters |
A flexible dictionary that includes all parameters available by the user selected library. For example, if the user uses LightGBMRegressor, then this dictionary can contain any parameter available by the LightGBMRegressor here. If the user selects a different model, then this dictionary can contain any parameter from that different model. Datatype: dictionary. |
n_estimators |
A common parameter among regressors which sets the number of boosted trees to fit Datatype: integer. |
learning_rate |
A common parameter among regressors which sets the boosting learning rate. Datatype: float. |
n_jobs, thread_count, task_type |
Different libraries use different parameter names to control the number of threads used for parallel processing or whether or not it is a task_type of gpu or cpu. Datatype: float. |
| Extraneous parameters | |
keras |
If your model makes use of keras (typical of Tensorflow based prediction models), activate this flag so that the model save/loading follows keras standards. Default value false Datatype: boolean. |
conv_width |
The width of a convolutional neural network input tensor. This replaces the need for shift by feeding in historical data points as the second dimension of the tensor. Technically, this parameter can also be used for regressors, but it only adds computational overhead and does not change the model training/prediction. Default value, 2 Datatype: integer. |
Important FreqAI dataframe key patterns
Here are the values the user can expect to include/use inside the typical strategy dataframe (df[]):
| DataFrame Key | Description |
|---|---|
df['&*'] |
Any dataframe column prepended with & in populate_any_indicators() is treated as a training target inside FreqAI (typically following the naming convention &-s*). These same dataframe columns names are fed back to the user as the predictions. For example, the user wishes to predict the price change in the next 40 candles (similar to templates/FreqaiExampleStrategy.py) by setting df['&-s_close']. FreqAI makes the predictions and gives them back to the user under the same key (df['&-s_close']) to be used in populate_entry/exit_trend(). Datatype: depends on the output of the model. |
df['&*_std/mean'] |
The standard deviation and mean values of the user defined labels during training (or live tracking with fit_live_predictions_candles). Commonly used to understand rarity of prediction (use the z-score as shown in templates/FreqaiExampleStrategy.py to evaluate how often a particular prediction was observed during training (or historically with fit_live_predictions_candles)Datatype: float. |
df['do_predict'] |
An indication of an outlier, this return value is integer between -1 and 2 which lets the user understand if the prediction is trustworthy or not. do_predict==1 means the prediction is trustworthy. If the Dissimilarity Index is above the user defined threshold, it will subtract 1 from do_predict. If use_SVM_to_remove_outliers() is active, then the Support Vector Machine (SVM) may also detect outliers in training and prediction data. In this case, the SVM will also subtract one from do_predict. A particular case is when do_predict == 2, it means that the model has expired due to expired_hours. Datatype: integer between -1 and 2. |
df['DI_values'] |
The raw Dissimilarity Index values to give the user a sense of confidence in the prediction. Lower DI means the data point is closer to the trained parameter space. Datatype: float. |
df['%*'] |
Any dataframe column prepended with % in populate_any_indicators() is treated as a training feature inside FreqAI. For example, the user can include the rsi in the training feature set (similar to templates/FreqaiExampleStrategy.py) by setting df['%-rsi']. See more details on how this is done here. Note: since the number of features prepended with % can multiply very quickly (10s of thousands of features is easily engineered using the multiplictative functionality described in the feature_parameters table.) these features are removed from the dataframe upon return from FreqAI. If the user wishes to keep a particular type of feature for plotting purposes, you can prepend it with %%. Datatype: depends on the output of the model. |
Example config file
The user interface is isolated to the typical config file. A typical FreqAI config setup could include:
"freqai": {
"startup_candles": 10000,
"purge_old_models": true,
"train_period_days": 30,
"backtest_period_days": 7,
"identifier" : "unique-id",
"feature_parameters" : {
"include_timeframes": ["5m","15m","4h"],
"include_corr_pairlist": [
"ETH/USD",
"LINK/USD",
"BNB/USD"
],
"label_period_candles": 24,
"include_shifted_candles": 2,
"weight_factor": 0,
"indicator_max_period_candles": 20,
"indicator_periods_candles": [10, 20]
},
"data_split_parameters" : {
"test_size": 0.25,
"random_state": 42
},
"model_training_parameters" : {
"n_estimators": 100,
"random_state": 42,
"learning_rate": 0.02,
"task_type": "CPU",
},
}
Feature engineering
Features are added by the user inside the populate_any_indicators() method of the strategy
by prepending indicators with % and labels are added by prepending &.
There are some important components/structures that the user must include when building their feature set.
Another structure to consider is the location of the labels at the bottom of the example function (below if set_generalized_indicators:).
This is where the user will add single features and labels to their feature set to avoid duplication from
various configuration parameters which multiply the feature set such as include_timeframes.
def populate_any_indicators(
self, pair, df, tf, informative=None, set_generalized_indicators=False
):
"""
Function designed to automatically generate, name and merge features
from user indicated timeframes in the configuration file. User controls the indicators
passed to the training/prediction by prepending indicators with `'%-' + coin `
(see convention below). I.e. user should not prepend any supporting metrics
(e.g. bb_lowerband below) with % unless they explicitly want to pass that metric to the
model.
:param pair: pair to be used as informative
:param df: strategy dataframe which will receive merges from informatives
:param tf: timeframe of the dataframe which will modify the feature names
:param informative: the dataframe associated with the informative pair
:param coin: the name of the coin which will modify the feature names.
"""
coint = pair.split('/')[0]
if informative is None:
informative = self.dp.get_pair_dataframe(pair, tf)
# first loop is automatically duplicating indicators for time periods
for t in self.freqai_info["feature_parameters"]["indicator_periods_candles"]:
t = int(t)
informative[f"%-{coin}rsi-period_{t}"] = ta.RSI(informative, timeperiod=t)
informative[f"%-{coin}mfi-period_{t}"] = ta.MFI(informative, timeperiod=t)
informative[f"%-{coin}adx-period_{t}"] = ta.ADX(informative, window=t)
bollinger = qtpylib.bollinger_bands(
qtpylib.typical_price(informative), window=t, stds=2.2
)
informative[f"{coin}bb_lowerband-period_{t}"] = bollinger["lower"]
informative[f"{coin}bb_middleband-period_{t}"] = bollinger["mid"]
informative[f"{coin}bb_upperband-period_{t}"] = bollinger["upper"]
informative[f"%-{coin}bb_width-period_{t}"] = (
informative[f"{coin}bb_upperband-period_{t}"]
- informative[f"{coin}bb_lowerband-period_{t}"]
) / informative[f"{coin}bb_middleband-period_{t}"]
informative[f"%-{coin}close-bb_lower-period_{t}"] = (
informative["close"] / informative[f"{coin}bb_lowerband-period_{t}"]
)
informative[f"%-{coin}relative_volume-period_{t}"] = (
informative["volume"] / informative["volume"].rolling(t).mean()
)
indicators = [col for col in informative if col.startswith("%")]
# This loop duplicates and shifts all indicators to add a sense of recency to data
for n in range(self.freqai_info["feature_parameters"]["include_shifted_candles"] + 1):
if n == 0:
continue
informative_shift = informative[indicators].shift(n)
informative_shift = informative_shift.add_suffix("_shift-" + str(n))
informative = pd.concat((informative, informative_shift), axis=1)
df = merge_informative_pair(df, informative, self.config["timeframe"], tf, ffill=True)
skip_columns = [
(s + "_" + tf) for s in ["date", "open", "high", "low", "close", "volume"]
]
df = df.drop(columns=skip_columns)
# Add generalized indicators here (because in live, it will call this
# function to populate indicators during training). Notice how we ensure not to
# add them multiple times
if set_generalized_indicators:
df["%-day_of_week"] = (df["date"].dt.dayofweek + 1) / 7
df["%-hour_of_day"] = (df["date"].dt.hour + 1) / 25
# user adds targets here by prepending them with &- (see convention below)
# If user wishes to use multiple targets, a multioutput prediction model
# needs to be used such as templates/CatboostPredictionMultiModel.py
df["&-s_close"] = (
df["close"]
.shift(-self.freqai_info["feature_parameters"]["label_period_candles"])
.rolling(self.freqai_info["feature_parameters"]["label_period_candles"])
.mean()
/ df["close"]
- 1
)
return df
The user of the present example does not wish to pass the bb_lowerband as a feature to the model,
and has therefore not prepended it with %. The user does, however, wish to pass bb_width to the
model for training/prediction and has therefore prepended it with %.
The include_timeframes from the example config above are the timeframes (tf) of each call to populate_any_indicators()
included metric for inclusion in the feature set. In the present case, the user is asking for the
5m, 15m, and 4h timeframes of the rsi, mfi, roc, and bb_width to be included in the feature set.
In addition, the user can ask for each of these features to be included from
informative pairs using the include_corr_pairlist. This means that the present feature
set will include all the features from populate_any_indicators on all the include_timeframes for each of
ETH/USD, LINK/USD, and BNB/USD.
include_shifted_candles is another user controlled parameter which indicates the number of previous
candles to include in the present feature set. In other words, include_shifted_candles: 2, tells
FreqAI to include the the past 2 candles for each of the features included in the dataset.
In total, the number of features the present user has created is:
length of include_timeframes * no. features in populate_any_indicators() * length of include_corr_pairlist * no. include_shifted_candles * length of indicator_periods_candles
3 * 3 * 3 * 2 * 2 = 108.
!!! Note
Features must be defined in populate_any_indicators(). Making features in populate_indicators()
will fail in live/dry mode. If the user wishes to add generalized features that are not associated with
a specific pair or timeframe, they should use the following structure inside populate_any_indicators()
(as exemplified in freqtrade/templates/FreqaiExampleStrategy.py:
```python
def populate_any_indicators(self, metadata, pair, df, tf, informative=None, coin="", set_generalized_indicators=False):
...
# Add generalized indicators here (because in live, it will call only this function to populate
# indicators for retraining). Notice how we ensure not to add them multiple times by associating
# these generalized indicators to the basepair/timeframe
if set_generalized_indicators:
df['%-day_of_week'] = (df["date"].dt.dayofweek + 1) / 7
df['%-hour_of_day'] = (df['date'].dt.hour + 1) / 25
# user adds targets here by prepending them with &- (see convention below)
# If user wishes to use multiple targets, a multioutput prediction model
# needs to be used such as templates/CatboostPredictionMultiModel.py
df["&-s_close"] = (
df["close"]
.shift(-self.freqai_info["feature_parameters"]["label_period_candles"])
.rolling(self.freqai_info["feature_parameters"]["label_period_candles"])
.mean()
/ df["close"]
- 1
)
```
(Please see the example script located in `freqtrade/templates/FreqaiExampleStrategy.py` for a full example of `populate_any_indicators()`)
Deciding the sliding training window and backtesting duration
Users define the backtesting timerange with the typical --timerange parameter in the user
configuration file. train_period_days is the duration of the sliding training window, while
backtest_period_days is the sliding backtesting window, both in number of days (backtest_period_days can be
a float to indicate sub daily retraining in live/dry mode). In the present example,
the user is asking FreqAI to use a training period of 30 days and backtest the subsequent 7 days.
This means that if the user sets --timerange 20210501-20210701,
FreqAI will train 8 separate models (because the full range comprises 8 weeks),
and then backtest the subsequent week associated with each of the 8 training
data set timerange months. Users can think of this as a "sliding window" which
emulates FreqAI retraining itself once per week in live using the previous
month of data.
In live, the required training data is automatically computed and downloaded. However, in backtesting
the user must manually enter the required number of startup_candles in the config. This value
is used to increase the available data to FreqAI and should be sufficient to enable all indicators
to be NaN free at the beginning of the first training timerange. This boils down to identifying the
highest timeframe (4h in present example) and the longest indicator period (25 in present example)
and adding this to the train_period_days. The units need to be in the base candle time frame:
startup_candles = ( 4 hours * 25 max period * 60 minutes/hour + 30 day train_period_days * 1440 minutes per day ) / 5 min (base time frame) = 1488.
!!! Note
In dry/live, this is all precomputed and handled automatically. Thus, startup_candle has no influence on dry/live.
!!! Note
Although fractional backtest_period_days is allowed, the user should be ware that the --timerange is divided by this value to determine the number of models that FreqAI will need to train in order to backtest the full range. For example, if the user wants to set a --timerange of 10 days, and asks for a backtest_period_days of 0.1, FreqAI will need to train 100 models per pair to complete the full backtest. This is why it is physically impossible to truly backtest FreqAI adaptive training. The best way to fully test a model is to run it dry and let it constantly train. In this case, backtesting would take the exact same amount of time as a dry run.
Running FreqAI
Backtesting
The FreqAI backtesting module can be executed with the following command:
freqtrade backtesting --strategy FreqaiExampleStrategy --config config_freqai.example.json --freqaimodel LightGBMRegressor --timerange 20210501-20210701
Backtesting mode requires the user to have the data pre-downloaded (unlike dry/live, where FreqAI automatically downloads the necessary data). The user should be careful to consider that the range of the downloaded data is more than the backtesting range. This is because FreqAI needs data prior to the desired backtesting range in order to train a model to be ready to make predictions on the first candle of the user set backtesting range. More details on how to calculate the data download timerange can be found here.
If this command has never been executed with the existing config file, then it will train a new model
for each pair, for each backtesting window within the bigger --timerange.
!!! Note "Model reuse"
Once the training is completed, the user can execute this again with the same config file and
FreqAI will find the trained models and load them instead of spending time training. This is useful
if the user wants to tweak (or even hyperopt) buy and sell criteria inside the strategy. IF the user
wants to retrain a new model with the same config file, then he/she should simply change the identifier.
This way, the user can return to using any model they wish by simply changing the identifier.
Building a freqai strategy
The FreqAI strategy requires the user to include the following lines of code in the strategy:
def informative_pairs(self):
whitelist_pairs = self.dp.current_whitelist()
corr_pairs = self.config["freqai"]["feature_parameters"]["include_corr_pairlist"]
informative_pairs = []
for tf in self.config["freqai"]["feature_parameters"]["include_timeframes"]:
for pair in whitelist_pairs:
informative_pairs.append((pair, tf))
for pair in corr_pairs:
if pair in whitelist_pairs:
continue # avoid duplication
informative_pairs.append((pair, tf))
return informative_pairs
def populate_indicators(self, dataframe: DataFrame, metadata: dict) -> DataFrame:
# All indicators must be populated by populate_any_indicators() for live functionality
# to work correctly.
# the model will return all labels created by user in `populate_any_indicators`
# (& appended targets), an indication of whether or not the prediction should be accepted,
# the target mean/std values for each of the labels created by user in
# `populate_any_indicators()` for each training period.
dataframe = self.freqai.start(dataframe, metadata, self)
return dataframe
def populate_any_indicators(
self, pair, df, tf, informative=None, set_generalized_indicators=False
):
"""
Function designed to automatically generate, name and merge features
from user indicated timeframes in the configuration file. User controls the indicators
passed to the training/prediction by prepending indicators with `'%-' + coin `
(see convention below). I.e. user should not prepend any supporting metrics
(e.g. bb_lowerband below) with % unless they explicitly want to pass that metric to the
model.
:param pair: pair to be used as informative
:param df: strategy dataframe which will receive merges from informatives
:param tf: timeframe of the dataframe which will modify the feature names
:param informative: the dataframe associated with the informative pair
:param coin: the name of the coin which will modify the feature names.
"""
coin = pair.split('/')[0]
if informative is None:
informative = self.dp.get_pair_dataframe(pair, tf)
# first loop is automatically duplicating indicators for time periods
for t in self.freqai_info["feature_parameters"]["indicator_periods_candles"]:
t = int(t)
informative[f"%-{coin}rsi-period_{t}"] = ta.RSI(informative, timeperiod=t)
informative[f"%-{coin}mfi-period_{t}"] = ta.MFI(informative, timeperiod=t)
informative[f"%-{coin}adx-period_{t}"] = ta.ADX(informative, window=t)
indicators = [col for col in informative if col.startswith("%")]
# This loop duplicates and shifts all indicators to add a sense of recency to data
for n in range(self.freqai_info["feature_parameters"]["include_shifted_candles"] + 1):
if n == 0:
continue
informative_shift = informative[indicators].shift(n)
informative_shift = informative_shift.add_suffix("_shift-" + str(n))
informative = pd.concat((informative, informative_shift), axis=1)
df = merge_informative_pair(df, informative, self.config["timeframe"], tf, ffill=True)
skip_columns = [
(s + "_" + tf) for s in ["date", "open", "high", "low", "close", "volume"]
]
df = df.drop(columns=skip_columns)
# Add generalized indicators here (because in live, it will call this
# function to populate indicators during training). Notice how we ensure not to
# add them multiple times
if set_generalized_indicators:
# user adds targets here by prepending them with &- (see convention below)
# If user wishes to use multiple targets, a multioutput prediction model
# needs to be used such as templates/CatboostPredictionMultiModel.py
df["&-s_close"] = (
df["close"]
.shift(-self.freqai_info["feature_parameters"]["label_period_candles"])
.rolling(self.freqai_info["feature_parameters"]["label_period_candles"])
.mean()
/ df["close"]
- 1
)
return df
Notice how the populate_any_indicators() is where the user adds their own features and labels (more information). See a full example at templates/FreqaiExampleStrategy.py.
Setting classifier targets
FreqAI includes a the CatboostClassifier via the flag --freqaimodel CatboostClassifier. Typically, the user would set the targets using strings:
df['&s-up_or_down'] = np.where( df["close"].shift(-100) > df["close"], 'up', 'down')
Running the model live
FreqAI can be run dry/live using the following command
freqtrade trade --strategy FreqaiExampleStrategy --config config_freqai.example.json --freqaimodel LightGBMRegressor
By default, FreqAI will not find any existing models and will start by training a new one
given the user configuration settings. Following training, it will use that model to make predictions on incoming candles until a new model is available. New models are typically generated as often as possible, with FreqAI managing an internal queue of the pairs to try and keep all models equally "young." FreqAI will always use the newest trained model to make predictions on incoming live data. If users do not want FreqAI to retrain new models as often as possible, they can set live_retrain_hours to tell FreqAI to wait at least that number of hours before retraining a new model. Additionally, users can set expired_hours to tell FreqAI to avoid making predictions on models aged over this number of hours.
If the user wishes to start dry/live from a backtested saved model, the user only needs to reuse
the same identifier parameter
"freqai": {
"identifier": "example",
"live_retrain_hours": 1
}
In this case, although FreqAI will initiate with a
pre-trained model, it will still check to see how much time has elapsed since the model was trained,
and if a full live_retrain_hours has elapsed since the end of the loaded model, FreqAI will self retrain.
Data analysis techniques
Controlling the model learning process
Model training parameters are unique to the ML library used by the user. FreqAI allows users to set any parameter for any library using the model_training_parameters dictionary in the user configuration file. The example configuration files show some of the example parameters associated with Catboost and LightGBM, but users can add any parameters available in those libraries.
Data split parameters are defined in data_split_parameters which can be any parameters associated with Sklearn's train_test_split() function. FreqAI includes some additional parameters such weight_factor which allows the user to weight more recent data more strongly
than past data via an exponential function:
W_i = \exp(\frac{-i}{\alpha*n})
where W_i is the weight of data point i in a total set of n data points.
train_test_split() has a parameters called shuffle, which users also have access to in FreqAI, that allows them to keep the data unshuffled. This is particularly useful to avoid biasing training with temporally auto-correlated data.
Finally, label_period_candles defines the offset used for the labels. In the present example,
the user is asking for labels that are 24 candles in the future.
Removing outliers with the Dissimilarity Index
The Dissimilarity Index (DI) aims to quantify the uncertainty associated with each prediction by the model. To do so, FreqAI measures the distance between each training data point and all other training data points:
d_{ab} = \sqrt{\sum_{j=1}^p(X_{a,j}-X_{b,j})^2}
where d_{ab} is the distance between the normalized points a and b. p
is the number of features i.e. the length of the vector X.
The characteristic distance, \overline{d} for a set of training data points is simply the mean
of the average distances:
\overline{d} = \sum_{a=1}^n(\sum_{b=1}^n(d_{ab}/n)/n)
\overline{d} quantifies the spread of the training data, which is compared to
the distance between the new prediction feature vectors, X_k and all the training
data:
d_k = \arg \min d_{k,i}
which enables the estimation of a Dissimilarity Index:
DI_k = d_k/\overline{d}
Equity and crypto markets suffer from a high level of non-patterned noise in the form of outlier data points. The dissimilarity index allows predictions which are outliers and not existent in the model feature space, to be thrown out due to low levels of certainty. Activating the Dissimilarity Index can be achieved with:
"freqai": {
"feature_parameters" : {
"DI_threshold": 1
}
}
The user can tweak the DI with DI_threshold to increase or decrease the extrapolation of the trained model.
Reducing data dimensionality with Principal Component Analysis
Users can reduce the dimensionality of their features by activating the principal_component_analysis:
"freqai": {
"feature_parameters" : {
"principal_component_analysis": true
}
}
Which will perform PCA on the features and reduce the dimensionality of the data so that the explained variance of the data set is >= 0.999.
Removing outliers using a Support Vector Machine (SVM)
The user can tell FreqAI to remove outlier data points from the training/test data sets by setting:
"freqai": {
"feature_parameters" : {
"use_SVM_to_remove_outliers": true
}
}
FreqAI will train an SVM on the training data (or components if the user activated
principal_component_analysis) and remove any data point that it deems to be sitting beyond the feature space.
Clustering the training data and removing outliers with DBSCAN
The user can configure FreqAI to use DBSCAN to cluster training data and remove outliers from the training data set. The user activates use_DBSCAN_to_remove_outliers to cluster training data for identification of outliers. Also used to detect incoming outliers for prediction data points.
"freqai": {
"feature_parameters" : {
"use_DBSCAN_to_remove_outliers": true
}
}
Stratifying the data
The user can stratify the training/testing data using:
"freqai": {
"feature_parameters" : {
"stratify_training_data": 3
}
}
which will split the data chronologically so that every Xth data points is a testing data point. In the present example, the user is asking for every third data point in the dataframe to be used for testing, the other points are used for training.
Setting up a follower
The user can define:
"freqai": {
"follow_mode": true,
"identifier": "example"
}
to indicate to the bot that it should not train models, but instead should look for models trained
by a leader with the same identifier. In this example, the user has a leader bot with the
identifier: "example" already running or launching simultaneously as the present follower.
The follower will load models created by the leader and inference them to obtain predictions.
Purging old model data
FreqAI stores new model files each time it retrains. These files become obsolete as new models
are trained and FreqAI adapts to the new market conditions. Users planning to leave FreqAI running
for extended periods of time with high frequency retraining should set purge_old_models in their
config:
"freqai": {
"purge_old_models": true,
}
which will automatically purge all models older than the two most recently trained ones.
Defining model expirations
During dry/live, FreqAI trains each pair sequentially (on separate threads/GPU from the main
Freqtrade bot). This means there is always an age discrepancy between models. If a user is training
on 50 pairs, and each pair requires 5 minutes to train, the oldest model will be over 4 hours old.
This may be undesirable if the characteristic time scale (read trade duration target) for a strategy
is much less than 4 hours. The user can decide to only make trade entries if the model is less than
a certain number of hours in age by setting the expiration_hours in the config file:
"freqai": {
"expiration_hours": 0.5,
}
In the present example, the user will only allow predictions on models that are less than 1/2 hours old.
Choosing the calculation of the target_roi
As shown in templates/FreqaiExampleStrategy.py, the target_roi is based on two metrics computed
by FreqAI: label_mean and label_std. These are the statistics associated with the labels used
during the most recent training.
This allows the model to know what magnitude of a target to be expecting since it is directly stemming from the training data.
By default, FreqAI computes this based on training data and it assumes the labels are Gaussian distributed.
These are big assumptions that the user should consider when creating their labels. If the user wants to consider the population
of historical predictions for creating the dynamic target instead of the trained labels, the user
can do so by setting fit_live_prediction_candles to the number of historical prediction candles
the user wishes to use to generate target statistics.
"freqai": {
"fit_live_prediction_candles": 300,
}
If the user sets this value, FreqAI will initially use the predictions from the training data set
and then subsequently begin introducing real prediction data as it is generated. FreqAI will save
this historical data to be reloaded if the user stops and restarts with the same identifier.
Extra returns per train
Users may find that there are some important metrics that they'd like to return to the strategy at the end of each retrain.
Users can include these metrics by assigning them to dk.data['extra_returns_per_train']['my_new_value'] = XYZ inside their custom prediction
model class. FreqAI takes the my_new_value assigned in this dictionary and expands it to fit the return dataframe to the strategy.
The user can then use the value in the strategy with dataframe['my_new_value']. An example of how this is already used in FreqAI is
the &*_mean and &*_std values, which indicate the mean and standard deviation of that particular label during the most recent training.
Another example is shown below if the user wants to use live metrics from the trade database.
The user needs to set the standard dictionary in the config so FreqAI can return proper dataframe shapes:
"freqai": {
"extra_returns_per_train": {"total_profit": 4}
}
These values will likely be overridden by the user prediction model, but in the case where the user model has yet to set them, or needs a default initial value - this is the value that will be returned.
Building an IFreqaiModel
FreqAI has multiple example prediction model based libraries such as Catboost regression (freqai/prediction_models/CatboostRegressor.py) and LightGBM regression.
However, users can customize and create their own prediction models using the IFreqaiModel class.
Users are encouraged to inherit train() and predict() to let them customize various aspects of their training procedures.
Additional information
Common pitfalls
FreqAI cannot be combined with VolumePairlists (or any pairlist filter that adds and removes pairs dynamically).
This is for performance reasons - FreqAI relies on making quick predictions/retrains. To do this effectively,
it needs to download all the training data at the beginning of a dry/live instance. FreqAI stores and appends
new candles automatically for future retrains. But this means that if new pairs arrive later in the dry run due
to a volume pairlist, it will not have the data ready. FreqAI does work, however, with the ShufflePairlist.
Feature normalization
The feature set created by the user is automatically normalized to the training data only. This includes all test data and unseen prediction data (dry/live/backtest).
File structure
user_data_dir/models/ contains all the data associated with the trainings and backtests.
This file structure is heavily controlled and read by the FreqaiDataKitchen()
and should therefore not be modified.
Credits
FreqAI was developed by a group of individuals who all contributed specific skillsets to the project.
Conception and software development: Robert Caulk @robcaulk
Theoretical brainstorming: Elin Törnquist @thorntwig
Code review, software architecture brainstorming: @xmatthias
Beta testing and bug reporting: @bloodhunter4rc, Salah Lamkadem @ikonx, @ken11o2, @longyu, @paranoidandy, @smidelis, @smarm Juha Nykänen @suikula, Wagner Costa @wagnercosta

